COLLADA book

From COLLADA Public Wiki
Revision as of 21:41, 16 July 2007 by Remi (talk | contribs)
Jump to navigation Jump to search

The COLLADA Book was published in August 2006 by AK Peters

Erratum

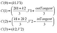
  • page 125

The 1D tangent equation is incorrect. It should be: Description

Note that 1D tangents are obsolete, most implementations are now using 2D tangents.

  • page 163

The arrows on the Figure 7.22 are incorrectly blended together. Here's what the picture should be:

Description

  • The