COLLADA book
Jump to navigation
Jump to search
The COLLADA Book was published in August 2006 by AK Peters

Order your copy
Errata
page 59
Figure 3.9 is incorrect. It should be a diagram of linestrip, not polylist.
page 125
The 1D tangent equation is incorrect. It should be:
Note that 1D tangents are obsolete, most implementations are now using 2D tangents.
page 126
The Bezier matrix definition is incorrect. Bézier interpolation do not use tangents
See the release notes page 22 for more information.
page 127
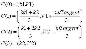
The Hermite matrix definition is incomplete, it should mention the C vector using (2D) tangents
page 127
The BSpline matrix definition is missing the 1/6 factor
page 163
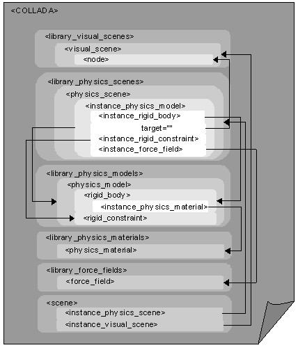
The arrows on the Figure 7.22 are incorrectly blended together. Here's what the picture should be:
